案例正文:
石油污染土壤的生物修复
The Biological Restoration of Oil-Polluted Soil
作者姓名:张增强
工作单位:西北农林科技大学资源环境学院
案例版权:西北农林科技大学
涉及的知识点:1.石油污染土壤的原因、危害
2.生物修复技术理论、以及含油污泥的不同处理方法及优缺点
3.对石油污染土壤的生物修复
案例来源:横向项目
案例真实性:未经过掩饰处理
石油污染土壤的生物修复
The Biological Restoration of Oil-Polluted Soil
案例类别:环境工程
实用课程:环境工程、固体废物处理与资源化、土壤污染与防治、环境生态工程、石油污染土壤生态修复技术与原理
选用课程:环境工程、固体废物处理与资源化、土壤污染与防治、环境生态工程、石油污染土壤生态修复技术与原理
编写目的:通过此案例进一步加强环境工程专业学位研究生对石油污染土壤生物修复过程中的理论与技术知识,进一步提高学生环境工程学、土壤学的专业理论素养,扩大学生在污染物迁移与调控方面的专业视野。
摘要:土壤石油油污染是石油生产过程中造成的环境污染之一,也是石油生产企业急需解决的重要环境问题。传统的物理化学处理方法常常需要建设固定的处理设施,投加化学药剂,在处理运行过程中还需要温度、压力、电力供应等条件,处理成本高,同时还会产生造成二次污染。生物修复技术是一种利用微生物的降解作用来实现恢复石油污染土壤生态系统的技术,其处理成本约为传统的物理化学方法的 1/3~1/5。该技术由于其具有处理成本低、没有二次污染、处理条件温和等良好的技术特点,受到广泛重视并得到飞速发展,已经成为目前国内外环境治理技术的研究热点,有望成为十分有前景的环境污染治理的替代技术。
关键词:石油污染、土壤、微生物、修复
The Biological Restoration of Oil-Polluted Soil
Abstract: Oil-contaminated soil is one of the environmental problems resulting from petroleum production, and one desirably solved by petroleum companies. For traditional physical or chemical methods, a lot of fixed facilities are often necessary for remediation for oil-contaminated soil, in which chemical regents are added into the process for some cases, and temperature, pressure, electric power supply and other conditions are needed with a high dispose cost and additional pollution. Therefore, the removal of oil by utilizing the degradation function of microbes is one of effective technologies for the remediation for oil-contaminated soil. Bioremediation is a kind of remedying technology for the ecological system of oil-contaminated soil by making use of the degradation function of microbes. The cost is from about one fifth to one third compared to the traditional physical and chemical methods. This technology has been developed recently in the field of environmental protection. Due to its advantages in a low cost, free additional pollution and moderate conditions, the method has been studied and developed extensively in the world.
Key words: oil pollution; soil; microorganism; remediation
石油污染土壤的生物修复
石油污染土壤的生物修复
含油污泥是油田生产开发过程中产生的废物,主要包括石油开采、集输和事故过程中产生的落地油泥、沉降罐油泥及联合站浮渣底泥等。近几年来,随着油田勘探开发规模不断扩大的同时,含油污泥的产生和排放呈逐年上增趋势。据估计,我国年均产生含油污泥约300×104t,年浪费石油资源约60×104t以上。若不加以处理直接排放或填埋,不但占用大量耕地,而且对周围土壤、水体、空气都将造成污染。目前全球石油能源紧张,原油油价上涨,而这些可回收的油泥未得到回收和利用,既浪费了石油资源,还可能造成更大的环境污染和生态破坏。
随着石油产业的快速发展,油田含油污泥产生量越来越大。由于含油污泥含有一定量的石油及重金属、病原菌等,且含水量高、体积大、有恶臭,若不加以处理直接排放或填埋,不但占用大量耕地,而且对周围土壤、水体、空气都将造成严重污染。鉴于含油污泥的污染特性,其已被列入《国家危险废弃物目录》。另一方面,含油污泥中富含大量烃类,实施油泥资源化符合可持续发展的战略方针,有利于建立循环型经济。由于含油污泥的组成特性,对其进行无害化与资源化处理已刻不容缓。本项目针对我国油田和石油开采工艺特征,开展不同类型油田含油污泥产生特性调查,结合行业发展趋势和污染特性研究,提出其未来产生特性和污染特性的变化趋势;开展油田含油污泥污染特征以及在再生、综合利用和处理处置各个环节中环境行为研究;开展油泥污染控制和资源化利用技术筛选与评估,完成环境风险评价,确定关键污染控制节点,建立提出污染控制技术规范、技术政策、最佳可行技术指南建议。
我国石油资源集中分布在渤海湾、松辽、塔里木、鄂尔多斯、准噶尔、珠江口、柴达木和东海陆架八大盆地,其可采资源量172亿吨,占全国的81.13%;天然气资源集中分布在塔里木、四川、鄂尔多斯、东海陆架、柴达木、松辽、莺歌海、琼东南和渤海湾九大盆地,
其可采资源量18.4万亿立方米,占全国的83.64%。
从资源深度分布看,我国石油可采资源有80%集中分布在浅层(<2000米)和中深层(2000米~3500米),而深层(3500米~4500米)和超深层(<4500米)分布较少;天然气资源在浅层、中深层、深层和超深层分布却相对比较均匀。从地理环境分布看,我国石油可采资源有76%分布在平原、浅海、戈壁和沙漠,天然气可采资源有74%分布在浅海、沙漠、山地、平原和戈壁。从资源品位看,我国石油可采资源中优质资源占63%,低渗透资源占28%,重油占9%;天然气可采资源中优质资源占76%,低渗透资源占24%。
早在1998年,国家环保总局就将含油泥砂等同类固体废弃物列为危险废物,要求含油污泥等固体废弃物在排放前必须进行无害化处理。2008年8月1日国家环保部颁布了《国家危险废物名录》,把含油污泥列为危险废物(废物类别HW08)。面对国家及地方环保要求,各油田企业加大了环保监督管理力度,把含油危险废弃物的处置列入到企业发展规划中。采取有效措施妥善处理含油污泥已成为石油企业面临的紧迫问题。
根据国家中长期科技发展规划纲要,油田含油污泥污染特征与污染控制研究属于环境这一重点领域的“综合治污与废弃物循环利用”优先主题,并提出了比较明确的目标、内容及主要考核指标。2012年2月24日,环境保护部发布了《关于加快完善环保科技标准体系的意见》,坚持科技兴环保战略,突出了环保标准在环保科技工作中的核心地位,并将建立“完善的环境保护法规政策和科技标准体系”作为探索环保新道路要着力构建的六大体系之一。结合《国家环境技术管理体系建设规划》的有关要求,油田含油污泥污染特征与污染控制研究,是对油田生产这一重点行业污染防治技术政策、污染防治最佳可行技术指南和工程技术规范的完成,这将能够为全面提升重点行业污染减排的技术支撑水平做出贡献,为环境管理工作提供的技术支撑。因此,为建立健全相关法律法规,制定污泥污染控制技术手册,积极探索油田含油污泥处理工艺技术和污染控制与环境监管对策,非常必要。
在国内,GB4284-1984为1984年制订颁布,距今已有25年,已经不能满足使用要求。GB18918-2002是比较综合的城市污水处理厂污染物排放标准,对污泥脱水、污泥稳定提出了控制指标,对农用污泥中重金属和有机污染物提出了限值,但仍不能满足实际工作的需要。而CJ3025-1993多是原则性的文字。
国外经济发达国家一般都有比较完整的污泥处置标准体系。美国国家环保局(EPA)的Part503,于1993年2月公布,它采用风险分析的方法,经11年的调查研究,共花费了1500万美元,较为全面地制定了土地利用、地表处置、焚烧等方面的相关标准。还有炼油厂一级/二级油水泥分离污泥列表(1990)、炼油过程废弃物检测清单以及相关SW-846系列标准方法等。欧盟:第86/278/EEC号指令等。
含油污泥因其成分复杂、比一般污泥可资源化程度高,相关标准和技术规范也应有别于普通城镇污泥。针对油田含油污泥的处置等标准国内还是一个空白,应当借鉴美欧日的相关技术标准,来完善我国的油田含油污泥相关标准规范。
关于油田含油污泥的专利比较多,仅就万方专利数据库而言,精确结果就多达133项。近五年81项,近三年57项,近一年7项。其中,装置类的有37项,方法类的有68项,工艺技术类的有22项。从处理目标看,资源化类的专利比较多,其中研究燃料类的专利就有7种,例如“含油污泥燃料制作方法”“一种零辅助燃料的污泥焚烧炉”等;其次是无害化类,减量化类的专利最少。从具体的技术角度看,做分离技术的较多,例如“炼油厂油泥的三相分离方法”“乳状液微波油水泥沙离心分离装置”等,其次是调剖、焚烧、热解等技术,分别都有5项专利,热化学技术有2项专利为最少。
含油污泥是指混入原油、各种成品油、渣油等重质油的污泥。含油污泥不是自然界固有存在的,而是由于油田开采、石油炼制过程、运输、使用、贮存等各种与原油、成品油有关的工业、民用、个人等,因各种事故、操作不当、设备陈旧、破损、腐蚀等原因造成原油、成品油跑、冒、滴、漏,外泄到地面,沉积到海洋、湖泊、河底,与泥土、水等混合在一起而形成的油、土,水,甚至掺混有等其他污染物的混合物。含油污泥对人体有害,对植物、水体生物有害,蒸发在空气中的油气能刺激皮肤、眼睛及呼吸器官,使土地失去植物生长的功能,处理和修复困难,是石油及石油化工工业的主要污染物之一。含油污泥的来源主要有以下几种途径及特点:
原油开采过程中产生的含油污泥主要来源于地面处理系统,采油污水处理过程中产生的含油污泥,污水净化处理中投加的净水剂形成的絮体、设备及管道腐蚀产物和垢物、细菌(尸体)等组成了含油污泥。此种含油污泥一般具有含油被原油污染的土地,大量含油污泥覆盖地表量高、粘度大、颗粒细、脱水难等特点,它不仅影响外输原油质量,还导致注水水质和外排污水难以达标。
(2)油田集输过程产生含油污泥
油田集输过程产生的含油污泥的主要来源于接转站、联合站的油罐、沉降罐、污水罐、隔油池底泥、被原油污染的土地,大量含油污泥覆盖地表
炼厂含油水处理设施、轻烃加工厂、天然气净化装置清除出来的油沙、油泥,钻井、油田作业、管线穿孔而产生的落地原油及含油污泥。油品储罐在储存油品时,油品中的少量机械杂质、沙粒、泥土、重金属盐类以及石蜡和沥青质等重油性组分沉积在油罐底部,形成罐底油泥。这些含油污泥本身成分复杂,含有大量的老化原油、蜡质、沥青质、胶体和固体悬浮物、细菌、盐类、酸性气体、腐蚀产物等,在污水处理过程中还加入了大量的凝聚剂、缓蚀剂、阻垢剂、杀菌剂等水处理药剂,也混于含油污泥中。
在3-6年的油罐定期清洗中,罐底含油污泥量约占罐容的1%左右。罐底含油污泥的特点是碳氢化合物(油)含量极高,典型的油罐底泥分析结果,其中大约25%为水,5%的无机沉淀物如泥沙,70%左右为碳氢化合物,其中沥青质占7.8%,石蜡占6%,污泥灰分含量4.8%。
(3)炼油厂污水处理场产生的含油污泥:炼油厂污水处理场的含油污泥主要来源于隔油池底泥、浮选池浮渣、原油罐底泥等,俗称“三泥”,这些含油污泥组成各异,通常含油率在10%~50%之间,含水率在40%~90%之间,同时伴有一定量的固体。
(4)钢铁冶炼等行业用油所导致的污染的泥土
(5)海上油田开采,造船修船使用重油烃所污染的海岸线、河流边际,海底含油污泥,石油油罐车船事故导致的油品泄漏造成的水体、地表含油污泥等。
含油污泥是油田生产开发过程中产生的废物,主要包括石油开采、集输和事故过程中产生的落地油泥、沉降罐油泥及联合站浮渣底泥等。其产生主要有5条渠道:①施工作业(如钻井施工、完井测试、检泵、洗井及修井作业)过程中产生的落地油、泥浆和油水;②采油后期生产中含有大量的含油污水和泥砂;③储油罐底沉降的泥砂中,含有不同比例的原油;④输油过程中管道腐蚀泄漏于泥土里,尤其是输送含硫化氢的对管道腐蚀相当严重;⑤井喷造成的落地油对周边环境的污染。
近几年来,随着油田勘探开发规模不断扩大的同时,废弃物(如生活、工业垃圾、污油泥等)产生和排放呈逐年上增趋势。据估计,我国年均产生含油污泥约300×104t,年浪费石油资源约60×104t以上,若不加以处理直接排放或填埋,不但占用大量耕地,而且对周围土壤、水体、空气都将造成污染。目前全球石油能源紧张,原油油价上涨,这些可回收的油泥未得到回收和利用,既浪费了石油资源,还可能造成更大的环境污染和生态破坏。
2008年8月1日国家已颁布《国家危险废物名录》,含油污泥已列为危险废物(废物类别HW08),面对国家及地方环保要求,各油田企业加大了环保监督管理力度,把含油危险废弃物的处置列入到企业发展规划中,因此,积极探索油田开采过程中产生的污油泥处理工艺技术和综合利用,非常必要。
含油污泥常用的处理方法有:溶剂萃取法、热化学洗涤法、焚烧法、生物法、含油污泥调剖、含油污泥综合利用等。处理后污泥残渣应满足GB5085.3-1996《危险废物鉴别标准-浸出毒性鉴别》和GB4284-84《农用污泥中污染物控制标准》的指标要求。其中处理后污泥残渣的主要污染物石油类应小于0.3%。
含油污水本身成分较为复杂,含有大量的老化原油、蜡质、胶体、固体悬浮物、细菌、盐类、酸性气体、腐蚀产物等。在污水处理过程中还投加了大量絮凝剂、缓蚀剂、阻垢剂、杀菌剂等水处理药剂。因此,不同的污水水质、处理工艺和药剂,含油污泥的排出量和物性差异较大。含油污泥一般具有含油量高、粘度大、颗粒细、脱水难等特点。它不仅影响外输原油质量,还导致注水水质和外排污水难以达标。
含油污泥的组成成分极为复杂,一般由水包油、油包水乳状液以及悬浮固体杂质组成,是一种极其稳定的悬浮乳状液体系。水合、带电性造成了稳定的分散状态,有一层或几层水附于表面而造成了使颗粒相互结合的阻碍,同时污泥颗粒一般都带负电,故含油污泥中大多数颗粒是相互排斥而不是相互吸引。由于其固相含量低,含水率高,因而体积庞大。
含油污泥中水一般可分为四种:游离水、絮体水、毛细水、粒子水。存在于污泥絮体空隙之间的游离水,借助于污泥固体的重力沉降可部分分离出来,絮体水藏于絮体网络内部,只有靠外力改变絮体结构才能部分分离;毛细水粘附于单个离子之间,必须施加更大外力,使毛细孔发生变形才能部分去除;粒子水是化学结合水,需要通过化学作用或高温处理,改变污泥固体的化学结构和水分子状态,才能将其去除。
污泥的含水率变化较大,底部沉积的不流动的污泥,平均含水率为75.25%,其密度为1.088g/cm3;排放时的污泥含水率在90%-95%左右。污泥的浓缩性也有较大区别,例如含水75%左右的污泥,静止沉降浓缩2h,含水率降到72%;5h降到70%;10h后降到66%;20h可降到60%左右。
污泥中的油一般可分为可浮油、乳化油、
溶解油等,这是使含油污泥粘度大,难于脱水处理的主要原因。
一般来说,污泥中含油量可达30%。然而污水处理工艺的不同,含油率也不会有很大的不同。例如在沉降罐中加入净水剂,对悬浮物的去除有显著的效果,对各种油/水形成的乳化油也有显著的破乳作用,达到油、泥的共沉,因而将乳化油转移到了污泥中,这种污泥一般含油量较高。而采用“先除油,后除渣”的水处理工艺,可从源头上减少含油污泥的含油量。
土壤是指固态陆地表面具有生命活动、处于生命与环境间进行物质循环和能量交换的疏松层,它是由矿物质和有机物质组成的固体物质、气体和水分占据的固体颗粒孔隙以及多种具有活性的微生物三部分构成的复杂的有机整体。其中土壤中的生物,特别是微生物,是土壤活性的主要体现,它在土壤生态环境中发挥着十分重要的作用,其主要的功能包括:(1)分解有机物,释放出碳、氮、磷、硫等营养组分,成为植物的有效养分;(2)合成土壤腐殖质并形成土壤团聚体,调节土壤结构形态;(3)进行生物固氮,增加土壤氮含量;(4)促进无机物质(如氮、磷、硫等元素)的转化,有利于植物的吸收;(5)分解有毒的有机物质,净化土壤环境。石油物质进入土壤后,会引起土壤理化特性的变化,如堵塞了土壤的孔隙结构,破坏土壤结构,使土壤的透水性降低;其富含的反应基能够与土壤中的无机氮、磷结合并限制硝化作用和脱磷酸作用,从而使土壤的有效磷、氮含量减少,导致土壤有机质的碳氮比(C / N)和碳磷比(C / P)的变化,由于这些变化,一方面恶化了土壤微生物的生存环境,另一方面石油自身对土壤中微生物也具有一定的负面影响,进而导致了反映土壤活性的微生物数量减少,微生物群落和微生物区系发生变化,使得未污染的土壤环境中微生物的五大功能明显降低,土壤的活性降低甚至没有活性,对作物生长发育产生不利的影响。其主要表现为:发芽出苗率低,生育期限推迟,贪青晚熟,结实率下降,抗倒伏、抗病虫害的能力下降等,进而直接导致粮食的减产,同时通过食用生长于该土壤的植物及其产品会直接影响到人类的身体健康。石油类在作物及果实部分主要残留的毒害成分是多环芳烃,它对于人和动物的毒害最大,尤其是双环和三环为代表的多环芳烃毒性更大。多环芳烃类物质可通过呼吸、皮肤接触、饮食摄入等方式进入人和动物的体内,影响其肝、肾等器官的正常功能,甚至导致癌变。另外,石油类物质还通过地下水的污染以及污染物的转移构成对人类生存环境多个层面上的不良威胁[1, 2]。因此,石油污染问题已经成为世界各国普遍关注的问题,也成为科学家和技术人员攻关研究的热点课题。
目前,随着石油开采和使用量的增加,大量的石油及其加工品进入环境,不可避免
地对环境造成污染。在国内,如华北油田周围的很多农田由于石油污染而无法耕种,每
年企业都要支付大量资金作为对农民的赔偿。黄河水系年平均含油最高可达 4.82 mg/L,
辽河水系年平均含油最高可达 7.68 mg/L,明显地超过了国家三级地面水的标准(<0.1mg/L)。有的甚至污染到地下水资源,如山东淄博地区地下水最高含油达到了 100 mg/L以上,超过国家标准(<0.1 mg/L)1000 倍以上。全国各地的储油场所也已开始渗漏污染到地下水,严重威胁了地下水资源的水质,石油污染是 1998 年发生在渤海的 1 万平方公里赤潮的主要原因之一。
生物修复指微生物催化降解有机物、转化其它污染物从而消除污染的受控或自发进行的过程”,“生物修复指利用天然存在的或特别培养的微生物在可调控环境条件下将污染物降解和转化的处理技术”,“生物修复是指生物(特别是微生物)降解有机污染物,从而消除污染和净化环境的一个受控或自发进行的过程”。从中可知,生物修复的机理是“利用特定的生物(植物、微生物或原生动物)降解、吸收、转化或转移环境中的污染物”,生物修复的目标是“减少或最终消除环境污染,实现环境净化、生态效应恢复”。 目前对于生物修复的概念还没有统一的认识,Hamer将生物修复的概念定义为“对环境肆虐的生物反应”即Biological Response to Environmental Abuse。中国科学院生态研究中心王庆仁等[3]提出了生物修复的确切定义为“生物修复是利用特定的生物(包括植物、微生物和原生动物)吸收、转化、清除或降解环境污染物,实现环境净化、生态效应恢复的生物措施”。该定义包括两个方面:一是利用具有特定的生理生化功能的植物或特异的微生物在原位修复污染场所(土壤或水体),二是应用生物处理或生物循环过程,通过精心设计与合理应用阻断或减少污染源向环境的直接排放。由此可见,生物修复作用是将过去曾经受到污染的场所通过生物过程得以恢复或清除新污染的污染物。其污染物的来源主要为有机、无机化工、石油开采等相关生产过程中以及储藏、运输、使用过程中偶然或非偶然释放到环境中所造成的。土壤石油污染生物修复是以石油和石油产品为主要污染物的土壤生物修复技术。它是指利用特定的生物将土壤中的石油及石油产品转化成为无害的无机化合物(通常为水和二氧化碳)的过程。生物修复的机理是依靠微生物的吸收和分解氧化作用经细胞的分解同化作用,使有机物转化成细胞的组成部分或者变为二氧化碳和水排出系统外,从而实现对有机污染土壤的修复过程。
按生物类群可把生物修复分为微生物修复、植物修复、动物修复和生态修复,而微生物修复是通常所称的狭义上的生物修复。
根据污染物所处的治理位置不同,生物修复可分为2类:
原位生物修复(in-situ bioremediation)指在污染的原地点采用一定的工程措施进行;异位生物修复(ex-situ bioremediation)指移动污染物到反应器内或邻近地点采用工程措施进行。异位生物修复中的反应器类型大都采用传统意义上“生物处理”的反应器形式。
生物修复是生物修复理论在实际中的应用,注重从工程学的角度解决和控制污染问题。这项技术的创新之处在于,一是精心选择、合理设计的环境条件中促进或强化在天然条件下发生很慢或不能发生的降解和转化过程,二是能治理更大面积的污染。
在地表水体(江河、湖泊、海洋、景观水、养殖水等)污染治理中,常用的原位生物修复措施有:投加高效降解菌(或基因工程菌)、人工爆气复氧、投加营养物或生物表面活性剂、添加电子受体等。除了考虑利用土著微生物外,驯化和培养具有高效降解性能的微生物成了研究的热点,并形成了一个环境微生物菌剂的新兴市场。为了防止流动水体中菌体的流失,研究机构和生产者研发出固定化微生物(将微生物附着在载体上)的工艺。
有些学者提出将生物修复技术分为三种类型,除了微生物修复法和植物修复法以外又提出了一种动物修复技术,该技术研究包括两个方面:(1)将生长在污染土壤上的植物体和粮食等作物饲养动物,通过研究动物的生化变异来研究土壤污染状况。(2)直接将土壤动物,如:蚯蚓、线虫类饲养在污染土壤中进行有关研究。土壤石油污染修复技术物理修复化学修复生物修复事实上,由于污染的条件不同,造成石油污染土壤的污染程度、污染物的性质差异较大,同时,由于各种环境条件和技术成熟程度的限制,使各种处理技术的实用性也受到了一定的限制。在某种条件下比较有效的处理技术可能在另外一种条件下不适用,在具体的应用过程中,单纯依靠一种方法或技术是难以实现污染土壤的清洁和修复,并使土壤恢复自然属性,通常需要采取物理、化学和生物及工程方法进行综合治理。通过各种处理技术的协同作用以达到降低处理费用、缩短处理周期和提高处理效果的作用。
生物修复技术的作用主体是自然环境中的土著菌、人为投加的外来菌或基因工程菌。在实际应用过程中,通常采用向污染治理系统中投加从自然界中筛选出的优势菌种或通过基因组合技术产生的高效菌种或降解酶等措施,以增强降解作用、提高降解速率,这种措施通常被称为生物强化技术。从污染物治理机理上分析,生物修复技术优于其它新技术的显着特点是通常能一步到位,消除了污染物在多次转移过程中造成二次污染的可能性。美国环保局(EPA)在1993年评价环境生物技术时也指出,“生物治理技术优于其它新技术的显着特点在于其是污染物消除技术而不是污染物分离技术”。从污染物处理的过程分析,生物修复技术与其它的物理化学处理技术相比较,还具有如下特点:
(1)处理时间长。由于生物修复技术是利用微生物降解石油,使其变成无害的无机化合物。因此,其生物修复技术所需要的反应时间较长,一般需要6个月或1年以上。而利用物理化学处理法使土壤和石油分离所需要的反应时间一般为几小时或十几小时。1995年美国科学家在调查生物修复技术处理石油烃和PAH污染土壤时发现:在20℃以上的自然环境下,石油烃类物质降解所需要的最短时间是160天。在1999年12月美国密西西比发生的输油管线泄露对土壤污染事件的处理中,使用了生物修复制剂OILGATOR,经过1年多的生物修复处理,到2001年4月完成修复试验。
(2)处理过程消耗低、成本低且处理条件要求低。物理和化学处理法常常需要建设固定的处理设施,投加必要的化学药剂,在处理运行过程中还需要温度、压力、电力供应等条件,因此,处理过程中必然要造成一定的能量消耗,需要比较大的资金投入。而生物修复技术,特别是原位生物修复技术,只需要现场接种微生物,通过简单的翻耕曝氧就可以实现整个修复处理。据资料介绍,生物修复技术在所有处理技术中成本最低。其费用约为焚烧处理费用的1/3~1/4。上世纪80年代末采用生物修复技术处理每立方米土壤需要75~200美元,而采用焚烧或填埋处理需要200~800美元。
(3)环境影响小,且无二次污染。从原理上分析,生物修复技术是依靠微生物的作用,将石油污染物分解成二氧化碳和水以及其它无害的化合物,彻底消除了目标污染物。整个修复过程只是一个自然净化过程的强化,不会形成二次污染或导致污染物的转移,可以达到永久去除污染物的目标,使土地的破坏和污染物的暴露减少到最小。而一般的物理化学处理技术只能实现将污染物从土壤环境中分离出来,因此,存在浓缩后的污染物的进一步处理的问题。
(4)最大限度地降低污染物的浓度。生物修复可以将污染物的残留浓度降到很低,例如:某一受污染土壤经过生物处理后,苯、甲苯和二甲苯的总浓度降为0.05~0.1mg/L,甚至低于检测限。
(5)生物修复技术可以同时处理受污染的土壤和地下水。
由于生物修复的具有上述技术特点,因此,在环境科学界,生物修复技术被认为比物理和化学处理技术更具有发展前途,它在土壤修复中的应用价值是难以估量的。并且受到了欧洲各国如德国、丹麦、荷兰以及美国等发达国家的广泛重视。目前,全欧洲从事该项技术的研究机构和商业公司大约有近百个,他们的研究证明,利用微生物分解有毒有害物质的生物修复技术是治理大面积污染区域的一种有价值的方法。美国国家环保局、国防部、能源部都积极推进生物修复技术的研究和应用。美国的一些州也对生物修复技术持积极态度,如新泽西州、威斯康星州规定将该技术列为净化受储油罐泄漏污染的土壤治理方法之一。美国能源部制定了90年代土壤和地下水的生物修复计划,并组织了一个由联邦政府、学术和实业界人员组成的“生物修复行动委员会”来负责生物修复技术的研究和具体应用实施。生物修复技术最成功的例子是Llidstrom等人在1990年夏到1991年应用投加营养和高效降解菌对阿拉斯加ExxonValdez王子海湾由于油轮泄漏造成的污染进行的处理,取得非常明显的效果,使得近百公里海岸的环境质量得到明显改善。
针对土壤环境污染,世界各发达国家纷纷制定了环境修复计划,如荷兰在80年代已投资15亿美元进行土壤污染的修复,德国在1995年一年就投资60亿美元净化土壤污染,英国、法国、日本、俄罗斯等也相应投巨资进行环境污染的修复。据《21世纪生物技术:新的方向》一书介绍,美国在90年代中,采用生物修复技术,每年都投资几百亿美元进行污染环境的修复,该书分析:如果采用传统的修复方法(物理和化学方法)来治理美国本土陆地上的环境污染,就需要投资1.7万亿美元,而如果采用生物修复技术,而只需3400~6000亿美元的投资,也就是传统方法所需投资的1/5~1/3。在今后若干年内,美国市场对生物修复技术服务及其生物产品的需求将以每年15%或更高速度增长,到2000年生物修复技术的纯利润将超过5亿美元。
我国尚未采取大规模的治理污染环境措施,仅在少数地区开展了治理,并以物理化学方法(如洗脱、吸附)为主,不仅投资成本高,而且也造成了二次污染。我们的国土面积比美国略大,且环境污染还更为严重,对全国范围的污染环境进行修复,若采用传统方法,即使考虑劳动力相对便宜的因素,其投资规模将仍然非常庞大,如采用生物修复技术,不仅其投资规模大为缩小(仅需传统方法投资的1/5~1/3),而且还没有二次污染。综上所述,环境污染的生物修复技术是我国今后治理环境污染必须发展的生物技术,更具有广阔的市场和发展前景。可充分预见,在21世纪,生物修复技术将成为我国生态环境保护领域最具有价值和最具有生命力的大面积污染的优选生物工程技术。当然,生物修复技术作为一种新兴的有前景的处理技术,还有待于进一步地完善与发展,还存在以下几个方面的局限性:第一是微生物不能降解所有进入环境的污染物,污染物的难生物降解性、不溶性以及与土壤腐殖质或泥土结合在一起常常使生物修复不能进行;第二是生物修复需要对地点的状况和存在的污染物进行详细而昂贵的具体考察,如在一些低渗透性的土壤中可能不宜使用生物修复技术,因为这类土壤或在这类土壤中的注水井会由于细菌生长过多而阻塞;第三是特定的微生物只降解特定类型的化学物质,状态稍有变化的化合物就可能不会被同一微生物酶破坏;第四是微生物活性受温度和其它环境条件影响。第五是有些情况下,生物修复不能将污染物全部去除,因为当污染物浓度太低不足以维持降解细菌一定数量时,残余的污染物就会留在土壤中。这些局限性随着研究的不断深化以及人们对特殊环境微生物研究的不断进展会得到不断的改良。
国内外处理含油污泥的方法一般有有:焚烧法、生物处理、热洗涤法、溶剂萃取法、化学破乳法、固液分离法、焦化法、含油污泥调剖、含油污泥综合利用等。也出现了一些新技术,如:超声波处理、超临界水氧化、低温热解等技术。这些方法都存在不同程度的缺点,如针对性不强、处理成本高、处理不彻底等。在含油污泥处理处置过程中,可通过将其综合利用,变废为宝,如对含油量高的含油污泥,可以提取原油,而对于含油量较低的含油污泥,提取原油所需成本较高,并且含油污泥本身含有大量助燃剂,增加了提取原油的成本和难度,不适合炼油。因此对于含油量低的含油污泥和提取原油后的含油污泥,处理要求更加迫切。目前,国内外技术发展仍以城镇污泥处理技术为主,油田的含油污泥相关技术也在逐步发展。污泥处理处置方法主要有填埋、焚烧和多种形式的土地利用。由于各国具体情况不同,选择的方法各有侧重。在美国土地利用逐渐占据主角,80年代末以填埋为主约占42%,1998年土地利用急剧上升至59%,预计2005年土地利用的比例将上升至66%;日本由于国土面积较小,以焚烧为主约占63%,土地利用22%,填埋5%,其它约10%;欧盟各成员国的侧重不尽相同,目前卢森堡、丹麦和法国主要以污泥农用为主,爱尔兰、芬兰和葡萄牙等国污泥农用的比例还会逐步增加,而法国、卢森堡、德国和荷兰则计划加大焚烧的比例。即使一个国家的不同地区也有所侧重,如在英国北部大型工业城市,由于污泥中重金属含量较高且含有一些有毒成分,因此焚烧比例较大约占50%,而英国的其它城市则以污泥土地利用为主。
含油污泥成分复杂,各种物理化学和生物化学性质都有所不同,单独选用一种处理技术来处理很难处理达标。所以在实际应用过程中,常常需要几种技术联合运用。考虑到成本和技术可行性,化学-生物联合调理技术将是今后的主要攻关方向。以下是含油污泥处理方法分类及优缺点。
经重力沉降脱水后的含油污泥是黑色粘稠状液体(含水率一般小于96%),称为污泥浓缩液,每个站的年产量往往达万吨以上,必须进行机械脱水减容。污泥脱水前,须进行调质。
(1)污泥的调质
污泥脱水过程实际上是污泥的悬浮粒子群和水的相对运动,而污泥的调质则是通过一定手段调整固体粒子群的性状和排列状态,使之适合不同脱水条件下的预处理操作。污泥调质能显著改善脱水效果,提高机械脱水性能。
由于含油污泥粘度高,过滤比阻大,多数污泥粒子属“油性固体”(如沥青质、胶质和石蜡等),质软。随着脱水的进行,滤饼粒子变形,进一步增加了比阻。而且在过滤过程中,这些变形粒子极易粘附在滤料上,堵塞滤孔;在离心脱水时,还因其粘度大,乳化严重,固—固—液粒子间粘附力强和密度差小等原因导致分离效果差。JonathanZall等人曾分别研究过一般市政污水处理厂的污泥和含油污泥的过滤脱水性能。他们测定了含油3%,含总悬浮固体4%的含油污泥(浮渣)和含总悬浮固体1%-2%的一般污泥的比阻和可压缩系数,证实含油污泥与一般污泥相比,其比阻大40倍,其可压缩性系数大20倍,如表1所示。
表1含油污泥和一般污泥的可滤性比较
污泥名称 | 含油污泥 | 一般污泥 |
比阻/(cm/kg) | 1000 | 25 |
可压缩性系数 | 15 | 0.75 |
用投加絮凝剂的化学调节法,就能使一般污泥中的悬浮微粒凝聚并顺利进行脱水。但对于含油污泥来说,还必须加上破乳剂和加热等其它强化手段。
含油污泥调质方法的选择要考虑以下三个问题:①含油污泥的性质和特点;②要适应所有脱水机械的性能;③脱水泥饼如何处理或利用。
含油污泥调质分为两个步骤:首先以适当方式投加石灰、煤粉等固体粉末调节剂,并混合均匀;其次再投加有机絮凝剂,这样才能顺利进行含油污泥的脱水。
用硅藻土,石灰和飞灰等微细粉末作为调节剂,可以使变形的含油污泥粒子形成有刚性的污泥骨架,使泥饼呈毛细结构,从而提供更多的微细水流通道。此外,这些固体粉末调节剂还能增加污泥粒子和水相的密度差,有利于机械脱水。
为减少固体粉末调节剂的投加量,可采用滤饼部分回流到含油污泥调节段的工艺。要通过调质—机械脱水使含油污泥实现油—水—固(无机固体)的三相分离,关键是使其中粘度大的吸附油解析和破乳。为促使油从固体粒子表面分离,加入合适的电解质可增加系统的电荷密度,使它们取代油组分优先吸附在粒子表面,并使粒子更分散,为油从固体颗粒表面脱附创造更好的条件。通过投加表面活性剂,稀释剂(葵烷等),电解质(NaCl溶液)或破乳剂(阴离子或非离子),润湿剂(可增加固体微粒表面和水的亲和力)和pH值调节剂等,并辅以加热减粘(最佳为50℃以上)等调质手段,实现水—油—固三相分离。
调质方法的选择应在测试含油污泥性质的基础上进行。在含油量大于10%时,易用亲水性表面活性剂;含油量大于4%时,易用亲油性表面活性剂。使用前者时,分离后水和固体在下层,而油在上层;用后者时,下层为含油固体,而上层为水(水层中均含有可溶性油和为乳化油)。
(2)机械脱水
要使含油污泥的机械脱水效果好,还应按具体情况和要求选择污泥脱水机械和设计脱水系统,包括污泥性质的测试、脱水机械及其参数的选择等。目前使用的脱水机械主要有带式压滤机和卧螺旋沉降式离心机。
使用上述两步调质技术,在带式压滤机上对含油污泥的脱水除油工艺是将机内分重力区、楔区和压力区3个区域。调质污泥送入后,先在重力区脱除大部分水;接着在楔区与溶液混合,以提高絮凝体的抗压能力;最后进入压力区,脱除约80%的油。其脱水效果是:含油污泥含固体12%,油20%和水68%,滤后液体中含固体1.5%,油13.7%和水84.8%;滤饼中含固体45.8%,油11.7%和水42.7%。
卧螺旋沉降式离心机具有设备紧凑,占地面积小,调节剂耗量少和处理效率高等优点,已得到越来越广泛的应用。要获得好的分离效果和水质好的离心液(悬浮物浓度低),则在对含油低的污泥脱水时,应使泥中的少量油最终进入泥饼,即离心因数小,一般取1000;反之,要求泥饼含油尽量低时,离心因数宜大,一般取2500-2700;此外,还必须注意离心机的离心因数、泥饼层厚度和污泥停留时间的平衡和调节。图2卧式螺旋卸料沉降离心机

卧式螺旋卸料沉降离心机工作原理
热处理和热解吸技术是90年代初国外迅速发展并获得应用的工艺。主要有包含低温(107-204℃)—高温(357-510℃)加热蒸发—冷凝步骤的含油污泥处理工艺、利用锅炉排放热废气干燥含油泥饼及热解吸工艺。该热解吸工艺是在一个装有叶片转子的反应器中,把污泥从299℃加热至399℃,并通入蒸汽,使烃类在复杂的水合和裂化反应中分离,并冷凝回收。这些工艺都能从泥饼中回收油,并使泥渣达到直接填埋的要求。
据文献报道,如进料中的碳环化合物、芳烃和油的浓度控制在合适范围内,则生物处理的运行成本比焚烧处理费用低40%;只要在生物反应器内保持合适的pH值、足够的溶解氧和营养盐浓度以及良好的混合状态,绝大多数有机物都能被降解,而逸出的少量有机物也容易用活性炭吸收。
含水50%的泥饼被输送到一台生物反应罐中。罐内通入氧或空气,同时进行机械搅拌,并不断加入氨和磷酸等营养物质,以促进好氧微生物的生长,使其最终转化为二氧化碳和水,处理后的残液进入罐中浓缩,在加入石灰后,再次进行离心脱水,最终泥饼能直接填埋。该技术处理效果好,作业安全(常温常压),经济合理,在提高氧利用率、降低药品消耗和改进泥饼脱油效果等方面仍有降低成本的潜力。
生物处理法需将含油污泥混以松散剂、肥料和培菌液,经常翻动并自然通风,历时41天才能将97%的石油烃生物降解,该方法的缺点是处理周期长,油资源不能得到回收利用。

污泥生物处理工艺流程
固化处理是通过物理化学方法将含油污泥固化或包容在惰性固化基材中的一种无害化处理过程,以便运输、利用或处理。这种处理方法能较大程度地减少含油污泥中有害离子和有机物对土壤的侵蚀和沥滤,从而减少对环境的影响和危害。由于这种方法是取代回填的一种更易为环境所接受的方法,因此近年来受到了重视。
固化中所用的化学固化剂分为有机和无机两大类,有机系列包括脲醛树脂、聚酯、环氧乙烷、丙烯酰胺凝胶体、聚丁二烯等,无机系列有玻特兰水泥及近年开发的磷石膏等。
根据不同油田含油污泥的特性,投加合适的浓缩剂静置沉降脱水,使含油污泥含水由99%降至90%以下,经离心脱水将污泥含水率降至50%-60%后,再采用物理化学分水-化学固化技术进行固化处理,达到无害化的目的。无害化处理工艺流程:
![]()
![]()
含油污泥加药浓缩 沉降脱水 离心脱水 物理化学固化成型
无害化处理含油污泥是利用不同性质的化学物质对含油污泥进行物理化学固化处理,使其具有一定的机械强度,并且在任何环境条件下,所有有害成分不再析出污染环境。选择有效的分水剂是含油污泥处理工艺成功的关键,利用分水剂可以脱出污泥体系中存在的四种不同形态的水:
(1)间隙水是固形物质粒子中间包含的水,约占污泥水分的70%,比较容易脱出;
(2)表面吸附水是浮着于固形粒子表面并随粒子移动的水,约占污泥水分的5%,需要一定的机械能才能脱出;
(3)毛细管结合水在固形粒子间形成一些小毛细管,这种毛细管有裂纹形和楔形两种,并且充满整个间隙内,约占污泥水分的20%。排除这部分水需要消耗大量的机械能;
(4)内部水指微生物细胞内的水和絮体连段上的吸附物水化水。该部分水单靠机械方法不能达到排除的目的,需采用生物化学法,冷却法破坏细胞膜才能排除。该部分水约占污泥水分的5%。
分水剂有较好的粘结性、可塑性和干强度等特点。有研究人员在室内从数十种分水剂中选出三种,按有效性与低成本原则,重点对PAN分水剂作了详细的实验研究。PAN分水剂为晶体层状结构,在吸水时,晶层底面间距加大,使许多水份进入晶体内,起到储存的作用,这部分水在固化过程中参与水化反应,对后期固化物强度做出贡献。PAN分水剂具有分水速度快、吸水量大、体系温度稳定等特点。实验装置如图。吸水速度测定采用称重并计算绘出吸水曲线,体系温度维持在20℃。
固化剂的作用是将含油污泥中的有害物质(污油、有害气体等)固定或锁在惰性物质中,经稳定化和固化使有害物质渗透性和溶出率大大降低,并形成一定的机械强度,便于排放,不泄漏污染,从而达到环保要求。固化剂是一种气硬性材料,当与含油污泥接触反应后形成可塑性,但在较短时间内又失去塑性,逐步形成坚硬的固体。固化剂通过化学反应将含油污泥中的有害成分吸收稳定在固化剂的晶体中,再由吸油剂及分水剂的综合作用,完成对含油污泥的无害化处理。
吸油剂的加入有利于将油污纳入到毛细孔中,使固化剂封闭作用进一步提高,同时它也起到骨架的作用,使固化剂硬度增加,提高后期固化物的强度。吸油剂的机理是靠原料的大比面积和较强吸附能力,将分水后的污染物吸入微孔中,在固化剂的激发作用下,发生化学反应,并通过固化剂将吸入微孔中的污染物封闭起来。增强剂的加入进一步提高了固化物的后期强度,降低粘度,调整固化物的初凝时间,便于现场工艺操作。
土地耕作法是用土地耕作处理含油污泥的一种方法。微生物能降解石油组分的能力在一个世纪以前就为人们所共识。土壤中自然存在的微生物将含油污泥中废油、有机物降解,产生诸如醇、酚、酯、醛、酮和脂肪酸等中间产物,最终被转化为二氧化碳、水及细胞物质,并增加土壤腐殖质含量。
该方法大致做法是:将含油污泥撒在预处理的场地上铺成10-15cm薄层,用耕犁将其与土壤混合,放置干燥约一周左右,加入肥料,然后用于圆盘犁耙入土壤中,靠土壤中的自有微生物把有机物、油分散成终态产物—二氧化碳和水。
土地耕作法是一种缓慢处理过程,其主要影响因素是土壤中的氧含量、营养物质、湿度、pH值、温度、土壤结构等。需要深入研究的是开发能够完全降解含油污泥中各种组分的微生物,设计出一种有助于特殊微生物发挥其预期作用的废物处理系统。另外,对于含多种有害成分的含油污泥,该种方法受到了极大的限制。
5.6堆肥法
堆肥的反应器一般为圆柱形,也有立方体形,由绝缘镀锌铁板、碳钢或其它材料制成。容器体积有大有小,从几十升到十几立方米甚至更大。为增加堆肥的疏松程度,加入一定比例的填充剂,填充剂可以是泥炭、树皮、木屑、草或其他物质,堆制的同时加入一定的肥料,可以是无机的氮、磷、钾肥。堆好后,定期搅拌,定期检测堆肥的温度,产生的二氧化碳量或细菌总数,以了解堆肥的进行状况。同时要定期检测N、P的含量,如果量不足了,则要补加,以满足微生物降解的需要。并定期测定油含量,以了解最终处理效果。处理过程一般在开始时温度较低,随过程的进行温度逐渐升高,可达到50-60℃,然后温度逐渐下降,二氧化碳量或细菌也会有类似起伏,油含量会持续下降。
污泥和其他废弃物在进入反应器处理之前,先装在进料罐中,该罐配有搅拌和营养注入系统。反应器为一常压储罐,是处理过程的中心。罐的上部是圆顶覆盖,内部有特制的隔断,将罐功能性的划分为两个操作间,上部是反应间,污泥在这里脱水,固性物存留一段时间,其中的有机组分被微生物降解掉。反应间的特有结构是搅拌器,它卸下污泥,阻止在废物、生物有机体和支持介质组成的反应床体内形成无氧的死角,下部作为气/液与固体的分离间,这个区间与反应间以暗道层分开,以阻止固体的通过,使气/液与固体分开。处理好的废弃物、微生物和支持介质由固体输送系统输送至相邻的分离罐。分离罐的底部为锥形,该罐也用来将处理过的固体物运出进行检测或存放被运到其它处理设备中去的固体物。输送系统的一部分用于将废弃物、微生物和支持介质运回到反应间,这样可以控制固形物的停留时间和微生物的数量。
反应器的运出物被泵到另一个相邻的锥形罐,渗出的液体直接流入污水处理设施,处理达标后排放,或是重新循环到反应器来调节反应间的湿度。
反应器的空气循环可通过鼓风机实现,中心鼓风机为微生物氧化废弃物中的有机物提供必要的气流。因为氧气的消耗,在反应器内安装了氧气传感器,检测反应器中氧气浓度。为了平衡空气的进入,反应器上还装有一出气口,出气处装有活性碳滤器,可以捕获到任何可能存在于空气中的有机物。因为空气在反应器中循环使用,反应器也可作为一个降低空气中挥发性有机物的生物滤器。一般情况下,空气从反应器顶部到底部循环,有利于污泥的脱水,但如果需要,正常的向下流动的模式可以翻转,而使反应器床底部干燥。
溶剂萃取工艺中的超临界流体萃取技术,是去除含油污泥中的油和其他有机物的有效手段。超临界流体有丙烷、三乙烷、重整油和临界液态二氧化碳等。第一步萃取采用粘度低、碳原子少(最佳为2-4)的轻质烃(如丙烯、环丙烷、丁烷等)为溶剂;萃取后残留泥仍含有一些聚合芳烃等有机物,需用相对分子质量较高的烃进行第二步萃取,氧化剂用空气、氧气和硝酸盐等(硝酸最佳),污泥中保持一定水分,以促进氧化反应。在温度200-375℃,压力0.1MPa的条件下,经一段时间后,有机物被氧化为二氧化碳和水,残渣可直接填埋。
溶剂萃取法存在的问题是流程长,工艺复杂,处理费用高,只对含大量难以降解的有机物的含油污泥适用。
我国绝大多数炼油厂都建有污泥焚烧装置,采用焚烧处理最多的废物是污水处理厂含油污泥。焚烧处理的特点是废物减容效果好,处理比较安全。目前国内焚烧炉类型主要有:厢式、固定床式、流化床式、耙式炉或回转窑等炉型。
对于含油污泥焚烧前一般必须经过污泥脱水,其预处理过程:含油污泥泵入污泥浓缩罐,同时适当加温(60℃左右),并投加絮凝剂(PAC或有机阳离子絮凝剂),经搅拌、重力沉降后,进行分层切水。经过浓缩预处理的污泥,经设备脱水、干燥等工艺,将泥饼送至焚烧炉进行焚烧,温度800-850℃,经30min焚烧即可完毕,灰渣再进一步处理。
焚烧处理法的优点是污泥经焚烧后,多种有害物质几乎全部除去,减少了对环境的危害,缺点是耗能大,焚烧中产生了二次污染,油资源也没得到回收利用,浪费了宝贵资源。
干化场是最早出现的污泥脱水技术,在美国广泛应用,干化场是由底部砂滤床(厚约250mm)和排水沟并列而成,以泵或车供给污泥,含油污泥层厚度约为150mm(冬季)-300mm(夏季),均匀地铺在地上,通过太阳或风的蒸发作用及土地渗滤作用,经过一段较长时间,用车将较为干燥的污泥送走或作其他用处。干化场处理含油污泥一般仅适用于气候较为干燥的地区,尤适用于沙漠地区含油污泥的处理。
该工艺是一种传统的处理工艺,其工艺流程图如图所示,主要是通过自然沉降去除污泥颗粒间隙中的水,这部分水一般占污泥含水的70%左右,通过浓缩处理可以使含水率降到95%左右,然后将浓缩后的污泥自然风干,填埋。

该工艺的优点是基建投资和运转费用少,操作简单,因此目前国内大多数油田的污泥处理采用该工艺。其主要缺点是:需要占用大面积土地;由于受到气候的影响,工作环境不稳定;干化场地卫生条件差;当污泥的颗粒小,粘度大,沉降和过滤性能较差时,很难使其干化。实验表明,残泥中的污染物含量达不到《农用污泥中污染物控制标准》(GB4284-84),填埋时造成土壤污染。
浮选是一种有效的固液分离方法,特别对于那些密度小于水的颗粒,以及非常细小的颗粒,更具有特别的优越性。浮选过程实质上是一个气-固吸附与固-液分离的综合过程,在这个过程中,微小气泡与在水中呈悬浮状态的颗粒相粘附,形成水-气-固三相混合体系,颗粒粘附上气泡后,其密度小于水而产生上浮作用,从而使悬浮状的污染物质得以从水中分离出来,形成浮渣。另外,污泥中不溶性物质,按其沉降性能可以分为两部分,一部分为密度大,易沉降的大颗粒物质,这部分物质大都为无机物,另一部分密度接近或小于水的小颗粒物质,这其中包含了绝大部分的污油,是污染控制和资源回收的对象。浮选可以很好的完成这两部分的分离。
污泥在缓冲罐中经调整含水率,加入絮凝剂,用泵送入浮选装置,与同步进入的气泡逆向接触、粘附,并一起上浮,形成浮渣,周期性撇油器定时从液面上去除污物,经撇油器出口管线排出;释放的气泡从顶部放出。而不与气泡粘附,密度大的颗粒在重力的作用下沉到底部漏斗排出;浮选净化后的污水经出口阀从容器底部排出,进入污水处理系统。
热水洗涤法(也称热脱附法)。国内目前主要用于含油土壤的处理,也可用于含油污泥的处理。其方法是:通过热碱水溶液反复洗涤,再通过气浮实施固液分离,一般洗涤温度控制在70℃,液固比2:1,洗涤时间20min,能将含油量为30%土壤洗至残油率0.3%。混合碱可由廉价的无机碱和无机盐组成,也可选用廉价的洗衣粉等,该方法能量消耗低,费用不高。目前单纯以回收污油为处理目的的工艺在油田较少采用。
将含油污泥、浮渣排放到贮存池内,在重力作用下,油泥、浮渣浓缩,含水率下降,采用中层分离水,将油泥、浮渣混合物装入加热釜中,分离出泥渣,再进入蒸馏釜中,在小于280℃下分离水,收集280-360℃的馏分油,得到柴油,可用于拖拉机、小型车作燃料,既解决了含油污泥的污染问题,也具有很大的经济效益。
含油6%-8%的污泥掺入煤粉可作烧砖的燃料,或者掺入适当的助燃物质(煤,锯末,油)生产型煤。油罐底泥、浮渣热值很高,并含有氢氧化铝等物质,按不同比例掺入粘土中制成转进行焙烧,砖的抗压强度符合国家要求。
作型煤燃烧时原油味重,用户不愿使用;直接作烧砖的内燃料会产生大量裂解气使砖强度降低,而用作外燃料因易结团等原因,用户也不愿使用。更重要的是目前国内已经明令严禁烧制土砖,型煤用量也越来越少,即使该方法可行,所消耗的含油污泥量也十分有限。
90年代起,国外许多炼油厂就采用Mobil油泥焦化工艺来处理隔油池油泥:用冷焦水与污泥调和后,作为骤冷介质在清焦前对热焦炭进行冷却,污泥中的水作为冷焦水或切焦水回用,烃类则循环回装置。该技术涉及到焦化装置的改造,比较复杂。
含油污泥中危害环境的主要成分是烃类、盐类、各种有机聚合物和一些重金属离子。近几年来,随着建筑物防渗、堵漏、密封、防光和保暖等问题越来越受到重视,各种建筑密封剂相继涌现出来。基于固化机理,利用脱油后的含油污泥生产建筑防水油膏,不仅对有害物质进行了有效封固,而且还回收利用了废聚乙烯塑料。
该建筑防水油膏主要适用于各种混凝土屋顶板嵌缝防水和大板侧墙、天沟落水管、堤坝、桥梁等混凝土构配件接缝防水及旧屋的补漏工程,也可用于道路的接缝密封是一种粘接力强、耐热度高、低温柔性、抗老化性好、耐酸碱的新型弹性建筑防水防腐材料。
该方法是将含油污泥重新搅为泥浆,加入分散剂等注入井下待调剖面或堵水。该法不仅难以消耗大量污泥,而且对污泥粒度要求极高,无法处理油砂,与其他调剖法相比成本更高,只能作为一种辅助方法,而且消耗的污泥量有限。
该方法也是将含油污泥重新搅为泥浆,加入分散剂等注入井下地层缝隙,该法不仅成本高,而且难以消耗大量污泥,对污泥粒度等要求较高,只能作为一种辅助方法。目前临盘采油厂采用该法处理石灰乳改性的含油污泥。
该法是利用加热、洗涤剂等将油砂、含油污泥中的原油分离出来。由于该法只能处理粒经足够大的油砂,洗油后的油砂仍然有污染,需要再处理或填埋,而且能耗高、成本高,更不能处理占污泥总量大部分的其他类型含油污泥,因此国内仅仅在辽河油田进行实验,胜利设计院在胜利油田孤岛采油厂也进行了试验,针对大颗粒油砂取得了一定的效果,但没有进一步推广。
5.20无害化及综合利用处理技术油砂、含油污泥无害化处理与综合利用技术首要考虑的是使其彻底的无害化,而彻底无害化的最佳途径莫过于高温处理。我们正在进行这方面的研究工作,我们在详细调研论证后,最终确定高温裂解为油砂、含油污泥无害化的关键过程。通过高温裂解,可以回收含油污泥中的烃类组分,并可将污泥中的其他有机物彻底去除。
经室内多次实验,证明污泥高温裂解工艺可靠、
安全、环保,剩余残渣完全无害,就地排放或综合利用完全达到环保要求。
对于油砂,裂解后可用于铺路、制砖、建筑砌块,也可直接填埋。
对于污水处理站产生的污泥,由于含有大量的混凝剂和助凝剂,裂解回收烃类组分后的残渣除了可用于铺路、制砖、建筑砌块、直接填埋之外,还可以用作生产生产混凝剂的原料,将其中的无机混凝成分回收回来再重复利用。絮凝剂产率可达95%以上,产品质量完全达到同类产品标准,并可使残渣量缩减80%以上。下面是对胜利油田某污水站污泥的有关实验研究结果。
滨南污水站污泥实验数据
多年来,含油污泥的处理已成为困扰环境保护和石油工业发展的难题,积极寻求多种处理途径,实现含油污泥资源化利用,彻底解决含油污泥污染是相当紧迫的问题。上述方法都各有有缺。从长远看,实现含油污泥资源化才是自有效的途径。因此在含油污泥处理处置方面,应做到不断的创新、传统技术与新技术相结合,以提高处理效益,增强处理效果,而且在含油污泥利用方面,应兼顾环境效益、生态效益和经济成本的均衡,以实现含油污泥资源化利用的最终目标。
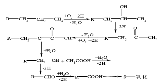
石油是链烷烃、环烷烃、芳香烃以及少量非烃化合物的复杂混合物。石油的生物降解性因其所含烃分子的类型和大小而异。链长度中等(C10~C24)的链烷最易降解,短链烷对许多微生物都有毒,不过它们通常很快从油中蒸发。很长的链烷对生物的抗性增强。从烃分子类型看,链烃比环烃易降解;不饱和烃比饱和烃易降解;直链烃比支链烃易降解,支链烷基愈多,微生物愈难降解,链末端有季碳原子时特别顽固;多环芳烃很难降解或不降解。通过研究者长期研究发现:不同的烃类物质,对应着不同的微生物种群,存在着不同的降解机理。
链烷烃是石油烃中最易降解的,细菌和真菌都能利用。微生物对链烷烃的利用又因烷烃的大小而不同。碳链长度适中(C10~C24)的正(n)烷烃分解最快。短链的烷烃对许多微生物有毒,而碳链很长时,微生物难于利用,烃分子量超过500~600后,微生物不能利用。直链烷烃存在四种不同的生物降解途径:
降解途径一:微生物攻击链烷烃末端甲基,由混合功能氧化酶催化氧化成伯醇,再依次进一步被氧化成醛和脂肪酸,脂肪酸再按β-氧化进一步分解。其反应式:

降解途径二:直链烷烃直接脱氢形成烯烃,烯烃再通过酶的催化作用,进一步氧化
成醇、醛。最后成为脂肪酸,脂肪酸再按β-氧化进一步分解。其反应式:

降解途径三:微生物攻击链烷的次末端,在链内的碳原子上插入氧。这样,首先生
成仲醇,再进一步氧化,生成酮,酮再代谢为酯,酯键裂解生成伯醇和脂肪酸。醇接着
继续氧化成醛、羧酸,羧酸则通过β-氧化进一步代谢。反应式如下:
降解途径四:直链烷烃氧化成为一种烷基过氧化氢,然后直接转化成脂肪酸。
微生物对支链烷烃的降解机理基本上与直链烷烃一致。主要氧化分解的部位是在直链烷烃上发生的,而且靠近侧链的一端较难发生氧化反应,侧链更难氧化,其氧化能力要差得多,总的说来,含有支链结构的烃类的降解速度慢于相同个数碳的直链烃类,烷烃的支链降低了分解速率[4]。
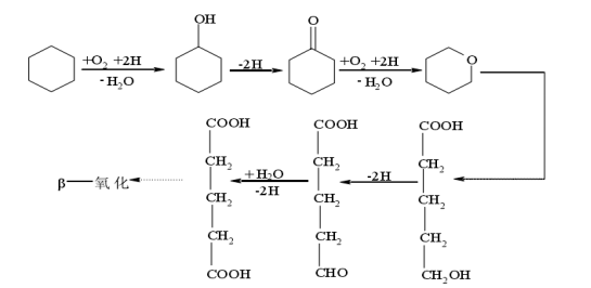
环烷烃在石油馏分中占有较大比例,在环烷烃中又以环己烷和环戊烷为主,没有末端烷基环烷烃,它的生物降解原理和链烷烃的次末端氧化相似。首先混合功能氧化酶(羟化酶)氧化产生环烷醇,然后脱氢得酮,进一步氧化得内酯,或直接开环,生成脂肪酸。以环已烷为例,其生物降解的机制为:混合功能氧化酶的羟化作用生成环已醇,后者脱氢生成酮,再进一步氧化,一个氧插入环而生成内酯,内酯开环,一端的羟基被氧化成醛基,再氧化成羧基,生成的二羧酸通过β-氧化进一步代谢。其反应式如下:
绝大多数研究表明,能够氧化环烷烃的微生物,并不能在环烷烃上生长,常见的是能转化环已烷为环已酮的微生物不能内酯化和开环,而能将环已酮内酯化和开环的微生物却不能转化环已烷为环已酮。要使环己烷彻底矿化,还需要多个微生物和多个酶系统参与。已有实验证实,环烷烃是通过共代谢作用得到降解,当环己烷分别与丙烷与庚烷进行混合培养时,牡牛分枝杆菌和假单胞菌都能利用环已烷生成环已醇、环己酮和脂肪酸。而这两种细菌均不能单独利用环己烷作为唯一碳源和能源。进一步研究发现,细菌羟化环烷烃的能力显然在自然界广泛存在,这是由于单加氧酶的广泛特异性造成的。利用其它烃类的微生物细胞产生的单加氧酶(羟化酶)能够使环烷烃转化为环烷酮,由于这一现象广泛存在,因此未能进化出由环烷烃诱导的具加氧酶的微生物。可见微生物之间的互生关系和共代谢在环烷烃的生物降解中起着重要作用。
对于存在烷基取代环烷烃的微生物降解,其生物降解的途径与无取代基的环烷烃相同,当环被打开后,再以支链脂肪酸方式进行分解。已有文献报道了一株嗜石油诺卡氏菌能够以甲基环己烷为唯一底物生长,检测出两种化合物分泌到培养基申,即3-甲基-环己醇和3-甲基-环己酮,这两种化合物能迅速分解。
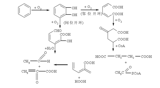
芳香烃是重要的石油组分,是修复土壤污染应优先控制的污染物。其代谢机理为芳香烃由加氧酶氧化为儿茶酚,二羟基化的芳香环再氧化,邻位或间位开环。邻位开环生成已二烯二酸,再氧化为β-酮已二酸,后者再氧化为三羧酸循环的中间产物琥珀酸和乙酰辅酶A。间位开环生成2-羟已二烯半醛酸,进一步代谢生成甲酸、乙醛和丙酮酸。以上反应见下式:

多环芳烃的生物降解,先是一个环二羟基化、开环,进一步降解为丙酮酸和CO2,然后第二个环以同样方式分解。以萘为例:
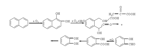
一些学者[5, 6]在研究多环芳烃污染土壤的生物修复,认为其降解过程如下:在多环芳烃等物质的诱导下,微生物可分泌出单加氧酶和双加氧酶,在这些酶的作用下,把氧加到苯环上,形成C-O键,再经过加氢、脱水等作用而使C-C键断裂,使苯环减少。其中真菌产生单加氧酶,加一个氧原子到苯环上,形成环氧化合物,加入H2O产生反式二醇和酚;细菌产生双加氧酶,加双氧原子到苯环上,形成过氧化物,然后氧化成为顺式二醇,脱氢后产生酚。环的氧化是微生物降解多环芳烃的限制步骤,以后降解较快,很少积累中间代谢物,不同的途径有不同的代谢物,但普遍的中间代谢物是邻苯二酚,2,5-二羟基苯甲酸,3,4-二羟基苯甲酸。最终产物是二氧化碳和水。以一个苯环为例,其代谢示意图如下:
上述论述的降解机理均是基于好氧微生物降解石油的反应机理。有些学者研究表明,在厌氧条件下,石油烃类物质也能发生降解,不过烃类物质在厌氧条件下生物降解速率有所下降,而且能够降解烃类物质的种类少一些,在厌氧条件下的电子受体为硫酸盐、硝酸盐等类化合物[7]。
石油污染生物修复技术作为一种新兴的处理技术,目前还没有统一的分类方法,不同的学者有不同的看法,总体看来分为以下几种:一种分类方法是将其分成微生物修复技术和植物修复技术。微生物修复技术是利用土壤中的土著微生物或向污染土壤中补充经过驯化的高效微生物,在优化的环境下,加速分解污染物,修复被污染的土壤[3, 8, 9];植物修复技术(Phytoremediation)即植物对环境的修复,它是利用植物及其微生物与环境之间的相互作用,对污染物进行清除、分解、吸收或吸附,使土壤环境得到重新恢[10]。有的学者将其分为微生物修复的一般方法(由原位生物修复和异位生物修复组成)和植物修复处理技术。第二种分类方法是根据土壤污染的深度不同,分为表层污染土壤(土壤深度为20~30cm)的生物修复技术和深层污染土壤(土壤深度为大于30cm)的生物修复技术。第三种分类方法是石油污染土壤在处理过程中是否发生迁移或者是否破坏土壤的基本结构,将其分为原位修复技术(In-situ Bioremediation)、异位修复技术(On-Situ Bioremediation)和原位异位修复技术[11]。原位修复技术也称为原地修复技术,它是一种在不破坏土壤的基本结构的情况下的微生物修复技术。主要通过在污染地点进行微生物的接种,依靠自然环境条件,利用微生物和空气中的氧或其它电子受体实现石油分解氧化处理;异位修复技术是一种需要对土壤进行大规模扰动的技术。通过将污染土壤转移到一个固定的地点,人为地创造有利于微生物生长的环境条件(如温度、湿度、水分、氧气及适宜的培养基等),最终实现石油的分解氧化处理。随着生物修复技术的不断发展以及新的生物修复方式的不断涌现,终将会形成统一的分类方法。目前,对于石油污染土壤生物修复技术的研究过程中采用的修复技术主要表现为以下几个方面:
(1)投菌法(Bioangmentation):该方法可用于原位生物修复技术,它是采用直接向石油污染的土壤中接入外源的污染降解菌,同时提供这些微生物生长所需要的营养物质,它包括氮、磷、硫、钾、钙、镁、铁、锰等,其中氮和磷是土壤生物修复治理系统中最主要的营养元素,微生物生长所需要的碳、氮、磷质量比大约为120:10:1[12, 13]。
(2)生物培养法(Bioculture):该方法可用于原位生物修复技术,它是一种直接利用土壤中的土著微生物实现生物修复的处理技术,通过定期向污染土壤中投加营养物质和氧或H2O2作为电子受体,以满足环境中已经存在的降解菌生长繁殖的需要,进而提高土著微生物的活性,将污染物降解成二氧化碳和水。研究表明:通过提高受污染土壤中土著微生物的活力比采用外源微生物的方法更为可取,因为土著微生物已经适应了污染物的存在,外援微生物不能有效地与土著微生物竞争,只有现存的微生物不能降解污染物时,才考虑引入外源微生物[14]。
(3)生物通气法(Bioventing):该方法是一种原位生物修复技术,它是从土壤气相抽提技术(SoilVaporExtraction.SVE)中衍生出来的,它结合了原位气相抽提与原位生物降解的特点,是一种强迫氧化的微生物降解技术[14, 15]。在待治理的土壤中打至少两口井,安装鼓风机和抽真空机,将空气(空气中加入氮、磷等营养元素,为土壤降解菌提供营养物质)强行注入土壤中,然后抽出,土壤中挥发性的毒物也随之去除。大部分低沸点、易挥发的有机物直接随空气一起抽出,而高沸点重组分的有机物主要是在微生物的作用下,被彻底矿化为二氧化碳和水。在抽提过程中不断加入新鲜氧,有助于降解残余的有机物,如石油中沸点高、分子量大的物质。其原理示意图如图1-2。
(4)土壤耕作法(LandFarming):该方法属于异位生物修复技术,它是一种广泛应用于土壤污染处理的技术方法,需要检测土壤水分和补充物及营养物(N、P、K),耕作机械定期使废物和营养物、细菌和空气充分接触,使上部处理带始终保持良好的耗氧状态。这是一种节约成本的方法,适宜于处理石油工业废物和污泥,在处理过程中需要不断地增加微生物、表面活性剂和频繁地进行土壤旋耕和翻耕。这种方法存在的问题是挥发性的有机物会造成一定的空气环境污染,一些难以降解的污染物的缓慢积累会增加土壤的毒性[15]。
(5)土壤堆腐法[16-18](CompostingPiles):该方法属于异位生物修复技术,它是一种与土壤耕作法相似的生物修复过程,但它加入了土壤调理剂以提供微生物生长所需要的能量。这个过程对于去除高浓度不稳定固体的有机复合物是最有效的,加入的物质或调理剂可以是干草、刈割草、树叶、木屑、麦秆、锯屑或肥料。加入土壤调理剂是为了提高土壤的渗透性,增加氧的传输量以及为快速建立一个大的微生物种群提供能源,微生物既消耗土壤调理剂又消耗石油产品。与土壤耕作法相比土壤堆腐法可以加快生物修复反应速度,降低石油污染土壤生物修复处理的时间。通常的反应时间为1~4个月。
(6)预制床法[19](PreparedBed):该方法也属于异位生物修复技术,它是在不泄漏的平台上,铺上石子和沙子,将受污染的土壤以15~30cm的厚度平铺其上,加入营养物和水,必要时也可以加一些表面活性剂,定期翻动土壤以补充氧气,满足土壤中微生物生长的需要,处理过程中流出的渗滤液,回灌于该层土壤上,以便彻底清除污染物。该技术将污染土壤集中在生物修复预制床上,可保证理想的工艺条件,确保达到良好的处理效果,同时还能防止污染物向环境迁移。但该方法存在着污染土壤的集中运输、操作复杂且成本较高,不适于污染土壤面积较大的工矿条件下的处理。
(7)生物反应器法(Bioreactor)或泥浆生物反应器[20](SlurryBioreactor):该方法属于异位生物修复技术,在应用时,用水将污染的土壤调成泥浆,装入生物反应器中,控制一些重要的生物反应条件,提高处理效果。有时还可以利用上批处理下来的泥浆接种下一批新泥浆。泥浆生物反应器的典型流程是:土壤挖出后进行预筛,筛去大块部分,然后将土壤分散于水中形成泥浆(一般形成20%~50%的重量泥浆浓度),将该泥浆送入生物反应器,加入接种的微生物和营养物质,并在好氧条件下运转。当需要氧时,经过喷嘴导入氧气或空气,或通过加入H2O2产生氧气,达到处理目标后,将土壤排出进行脱水处理。该方法的一个主要特征是以水相为处理介质,污染物、微生物、溶解氧和营养物质的交融速度快,而且避免了复杂又经常不利的自然环境的变化,可以人为地控制如:pH值、温度、氧化还原电位、溶解氧的量、营养物质、矿化度等因素处于最佳状态,因此该方法是最灵活的处理方法,处理效果好,反应时间短。但需要固定的处理设施,工艺和操作比较复杂,运行成本高,不适合于大量污染土壤的治理,而且对于石油污染土壤要分散形成泥浆还需要加温等一系列措施,同时在处理难以降解的物质时,还应防止其转入水相中而造成新的环境污染。
生物泥浆反应器的运行方式通常有两种:连续流搅拌反应器(Continuous Stirred Tank Reactor, CSTR)和土壤泥浆序批反应器(Soil Slurry-Sequencing Batch Reactor, SS-SBR)。CSTR反应器,污染物在入口处被稀释,因此,对高污染物具有较好的缓冲能力,具有耐冲击负荷的能力。操作简单,只需要一个反应器就可以完成处理过程。SS-SBR反应器,采用进泥-反应-排泥的方式处理泥浆,经过反应后,部分处理后的泥浆可以从反应器中排出,替代同体积的未处理的泥浆完成一次循环。这种方式容许间歇进泥,在操作上比CSTR具有更大的灵活性,且调节每次循环进入反应器的泥浆量,可使污染物浓度和微生物处于最佳处理条件,由于每批处理的泥浆均可达标,因此,SS-SBR在危险废物处理中具有明显的优势。
(8)植物修复技术:在以往的土壤污染的植物修复研究方面主要是针对重金属污染开展的[21-24],它是将对某种污染元素具有特殊吸收富集能力的特定植物种植在被该重金属污染的土壤上,植物收获并进行妥善处理后即可将该重金属从土体中去除,达到治理污染与生态修复的目的。因修复机理不同,土壤重金属污染的植物修复技术有以下3种类型:第一是植物固定(Phytostabilization),它是利用植物活动来降低重金属的活动性,使其不能为生物所利用,或者利用植物将土壤重金属转变为无毒或毒性较低的形态,降低重金属在土壤中的有效态,起到减轻污染的作用;第二是植物挥发,它是植物将污染物吸收到体内后将其转化为气态物质而释放到大气中;第三是植物提取,它是通过种植的一些特殊植物,利用其根系吸收污染土壤中的有毒有害物质并运移至植物的地上部分,收割地上部的物质后即可带走土壤中的污染物。
植物对有机污染土壤的生物修复作用主要表现在植物对有机污染物的直接吸收,植物释放出的各种分泌物或酶类,促进了有机污染物的生物降解及强化有机污染物在根际微域的矿化作用等方面[25]。对于其降解有机污染物的机理主要体现在以下三个方面:第一方面是植物根际对有机污染物的吸收作用。植物根对有机污染物的吸收与植物的相对亲脂性有关,植物根的相对亲脂性越高,对有机物的吸收越明显。例如:利用胡萝卜吸收二氯二苯基三氯乙烷,然后收获胡萝卜进行集中处理。在上述过程中,亲脂性的有机污染物离开土壤基质进入脂含量高的胡萝卜中。第二方面是植物根际为微生物创造了一种良好的生态环境,促进了植物根际周围微生物的繁殖与生长,进而加速了根际周围有机物的降解速度。研究表明:植物根际微生物生态系统的物理、化学与生物学性质明显不同于非根系环境,根系中的微生物数量明显高于非根系土壤,根系可以促进许多污染物的降解。另外,植物根际本身释放出的各种分泌物或酶类在植物修复过程中也发挥着重要的作用,因而使植物的根和茎具有一定的代谢活性。如某些杀虫剂成分——三氯乙烯和石油醚等已经能够在根际快速降解,而在土体中降解过程的总体速度和数量都相对比较慢。第三方面是形成了菌根技术,同时促进了植物的生长和对有机污染物的降解作用。菌根是植物与真菌共生形成的共生体,它是自然界中的普遍现象,菌根微生物活性的大小、植物根系的发育状况及其物理尺度(例如植物的根/茎比、跟表/根体积比)都直接与污染物的降解或累积速率有关,植物的种类不同,菌根的功能不同,其降解能力也不同,研究表明[26-28]:单子叶植物的分枝顶生根大多很精细,常常小于100µ